Beranda
/ Cara Menentukan Rusuk Kubus / Tentukan Panjang Rusuk Kubus Jika Diketahui Volumenya Sebagai Berikut Tolong Di Jawab Kak Brainly Co Id - Dengan mengetahui panjang rusuk kubus, maka kamu bisa membuat benda berbentuk kubus untuk menentukan ukuran bahan yang digunakan.
Cara Menentukan Rusuk Kubus / Tentukan Panjang Rusuk Kubus Jika Diketahui Volumenya Sebagai Berikut Tolong Di Jawab Kak Brainly Co Id - Dengan mengetahui panjang rusuk kubus, maka kamu bisa membuat benda berbentuk kubus untuk menentukan ukuran bahan yang digunakan.
Cara Menentukan Rusuk Kubus / Tentukan Panjang Rusuk Kubus Jika Diketahui Volumenya Sebagai Berikut Tolong Di Jawab Kak Brainly Co Id - Dengan mengetahui panjang rusuk kubus, maka kamu bisa membuat benda berbentuk kubus untuk menentukan ukuran bahan yang digunakan.. Kubus memiliki 12 sisi (ada yang menyebutnya rusuk). Contoh soal menentukan jarak titik ke garis pada kubus. Untuk mengingatnya coba perhatikan gambar di bawah ini! Bilangan asli dari 1 sampai 9 apabila dipangkatkan tiga memiliki hasil angka satuan berbeda. Luas permukaan dapat ditemukan dengan menggunakan rumus sederhana:
= 8000 x 1 cm³. Panjang rusuk total ini sama juga dengan panjang. Yang membuat perhitungan kubus menjadi lebih mudah dibandingkan dengan balok adalah karena semua rusuknya memiliki panjang yang sama. Tapi, sebelum itu, apakah kalian masih ingat bagaimana cara menentukan volume kubus? Jika panjang rusuk 9 cm, maka:
Menghitung Panjang Rusuk Kubus Edge Of A Cube Jika Diketahui Luas Permukaannya Mamatematika from i.ytimg.com = (16 x 1.000 gr : Panjang rusuk kubus abcd efgh adalah 6 cm tentukan jarak contoh soal dan pembahasan tentang jarak antar dua titik. Kalau sudah membaca materinya, silahkan lanjutkan simak contoh soal di bawah ini kemudian. Untuk itu, pada kesempatan kali ini akan dibahas mengenai bagaimana cara mencari panjang rusuk sebuah kubus yang telah diketahui volume, luas permukaan dan kelilingnya. Materi jarak titik ke titik merupakan bagian dari materi dimensi tiga. Cara mencari panjang rusuk kubus jika diketahui volumenya. Jumpa lagi di rbc channel. Mencari akar pangkat tiga dengan mengidentifikasi bilangan satuannya.
Mencari volume kubus adalah dengan memangkatkan tiga dari panjang rusuknya.
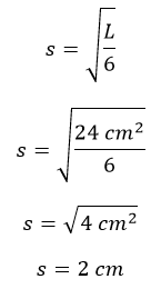
Kubus sendiri merupakan bangun ruang yang mempunyai bentuk tiga dimensi yang sudah dibatasi oleh enam bidang sisi sisinya dan sisi tersebut memiliki bentuk kongruen atau memiliki bentuk bujur sangkar. 18042021 cara mencari panjang kawat untuk membuat sebuah kubus editor de eka sas published 0904 yang membuat perhitungan kubus menjadi lebih mudah dibandingkan dengan balok adalah karena semua rusuknya memiliki panjang yang sama. Invers dari pangkat tiga yang disebut akar pangkat tiga. Pembelajaran tematik kelas 5 sekolah dasar tidak ikut memadukan muatan. Sebelum menyimak contoh soal di bawah ini. Materi jarak titik ke titik merupakan bagian dari materi dimensi tiga. = 8000 x 1 cm³. A l6 misalkan diketahui bahwa luas total keenam permukaan kubus adalah 96 cm 2 maka panjang rusuk kubus tersebut adalah a 966 16 4 cm. Kali ini kita akan membahas bagaimana cara menghitung panjang rusuk kubus, jika luas salah satu sisinya diketahui. Jika panjang rusuk 9 cm, maka: Alangkah baiknya terlebih dahulu membaca materi tentang cara menentukan jarak titik ke garis pada bangun ruang kubus. Cara menentukan volume balok dalam satuan kubus satuan ialah dengan menghitung banyaknya kubus satuan yang mampu menempati ruang balok tersebut. Untuk memperjelas pemahaman tentang cara menghitung panjang rusuk kubus jika diketahui volume, luas permukaan, atau panjang kawat bingkai kubus, berikut ini beberapa contoh soal.
Pahami bahwa luas permukaan kubus terdiri dari luas keenam wajah kubus. Merupaka bagian serangkaian serangkaian materi tentang kubus.cara menghitung volume dan luas permu. Hallo sobat pelajar.jumpa lagi di rbc channel.video kali ini membahas tentang bagaimana cara menghitung panjang rusuk kubus jika di ketahui volumenya.se. Materi jarak titik ke titik merupakan bagian dari materi dimensi tiga. Mencari volume kubus adalah dengan memangkatkan tiga dari panjang rusuknya.
Menentukan Panjang Rusuk Kubus Jika Diketahui Volume Mikirbae Com from 1.bp.blogspot.com Yang membuat perhitungan kubus menjadi lebih mudah dibandingkan dengan balok adalah karena semua rusuknya memiliki panjang yang sama. Cara cepat menentukan panjang rusuk dari volume kubus pembelajaran kelas 5 k13. Photo by masood aslami from pexels. = 8000 x 1 cm³. Jarak titik d ke titik f merupakan panjang diagonal ruang kubus. Selain menggunakan teorema pytagoras, soal di atas bisa menggunakan rumus diagonal ruang kubus. Misalnya, kamu ingin membuat bak kamar mandi yang dapat menampung air sebanyak 150 liter. Perhatikan gambar di bawah ini, ada berapa banyak rusuk pada kubus maupun balok tersebut?
Jika panjang rusuk kubus adalah s maka jumlah panjang rusuknya adalah 12s.
Photo by masood aslami from pexels. Contoh soal 1 diketahui volume sebuah kubus adalah 125 cm 3. Pengertian rusuk dan titik sudut. Materi jarak titik ke titik merupakan bagian dari materi dimensi tiga. Jika panjang rusuk 9 cm, maka: Karena semua wajah kubus sebangun, kita bisa mencari area satu wajah dan mengalikan dengan 6 untuk mendapatkan total luas permukaan. Panjang rusuk total ini sama juga dengan panjang. Sebuah kubus memiliki 12 rusuk. Rumus rusuk kubus bisa kamu dapatkan dengan mengetahui volume atau luas permukaan kubus. Panjang rusuk kubus adalah 5cm. Beranda > materi pembelajaran > pertemuan 4. Alangkah baiknya terlebih dahulu membaca materi tentang cara menentukan jarak titik ke garis pada bangun ruang kubus. Jumlah panjang rusuk = 12s = 12 x 5 cm = 60 cm.
Untuk itu, pada kesempatan kali ini akan dibahas mengenai bagaimana cara mencari panjang rusuk sebuah kubus yang telah diketahui volume, luas permukaan dan kelilingnya. 6xs 2, s merupakan sisi kubus. 2 gr) x 1 cm³. Pada pertemuan kali ini kita akan belajar tentang cara menentukan panjang rusuk kubus. Panjang rusuk kubus abcd efgh adalah 6 cm tentukan jarak contoh soal dan pembahasan tentang jarak antar dua titik.
Cara Menghitung Panjang Rusuk Kubus Jika Diketahui Luas Permukaan Youtube from i.ytimg.com Cara cepat menentukan panjang rusuk dari volume kubus pembelajaran kelas 5 k13. Sebuah bentuk geometri tiga dimensi beraturan, biasa juga kita sebut dengan nama kotak/balok. Karena semua wajah kubus sebangun, kita bisa mencari area satu wajah dan mengalikan dengan 6 untuk mendapatkan total luas permukaan. Rusuk pada kubus sama panjang, sedangkan rusuk pada balok mempunyai 3 ukuran, yaitu panjang, lebar, dan tinggi. Assalamualaikum, masih membahas cara mencari panjang rusuk kubus, insyaallah. Alangkah baiknya terlebih dahulu membaca materi tentang cara menentukan jarak titik ke garis pada bangun ruang kubus. Dan hal inipun berdampak dengan perhitungan panjang rusuk total atau kelilingnya, sangatlah mudah sekali. Yang membuat perhitungan kubus menjadi lebih mudah dibandingkan dengan balok adalah karena semua rusuknya memiliki panjang yang sama.
Lalu rusuk dari gambar kubus di atas iyalah ab , bc , cd , da , ae , bf , cg , dh , ef , fg , gh , dan he.
2 gr) x 1 cm³. Yang perlu kita pahami adalah semua sisi pada bangun ruang kubus (the area of one face) berbentuk bangun datar persegi (square), pada sebuah persegi garis yang membatasi areanya disebut sisi… Tergantung dari sudut pandang yang melihat. Rusuk pada kubus sama panjang, sedangkan rusuk pada balok mempunyai 3 ukuran, yaitu panjang, lebar, dan tinggi. Insyaallah kali ini, saya ingin membahas cara menentukan panjang rusuk kubus menggunakan faktorisasi prima dari volumenya. Sebuah kubus memiliki 12 rusuk. Pahami bahwa luas permukaan kubus terdiri dari luas keenam wajah kubus. Dengan mengetahui panjang rusuk kubus, maka kamu bisa membuat benda berbentuk kubus untuk menentukan ukuran bahan yang digunakan. Pengertian rusuk dan titik sudut. Titik sudut adalah titik potong antara 2 atau 3 rusuk. Lalu rusuk dari gambar kubus di atas iyalah ab , bc , cd , da , ae , bf , cg , dh , ef , fg , gh , dan he. Langkah selanjutnya kita cari panjang rusuk kubus. Sebuah bentuk geometri tiga dimensi beraturan, biasa juga kita sebut dengan nama kotak/balok.
Berbagi
Posting Komentar
untuk "Cara Menentukan Rusuk Kubus / Tentukan Panjang Rusuk Kubus Jika Diketahui Volumenya Sebagai Berikut Tolong Di Jawab Kak Brainly Co Id - Dengan mengetahui panjang rusuk kubus, maka kamu bisa membuat benda berbentuk kubus untuk menentukan ukuran bahan yang digunakan."
Posting Komentar untuk "Cara Menentukan Rusuk Kubus / Tentukan Panjang Rusuk Kubus Jika Diketahui Volumenya Sebagai Berikut Tolong Di Jawab Kak Brainly Co Id - Dengan mengetahui panjang rusuk kubus, maka kamu bisa membuat benda berbentuk kubus untuk menentukan ukuran bahan yang digunakan."